ZF ZHAO
  • 首页
  • 归档
  • 分类
  • 标签
  • 关于
2025年8月17日 晚上
39 字 1 分钟

姿态解算手稿整理

手稿整理

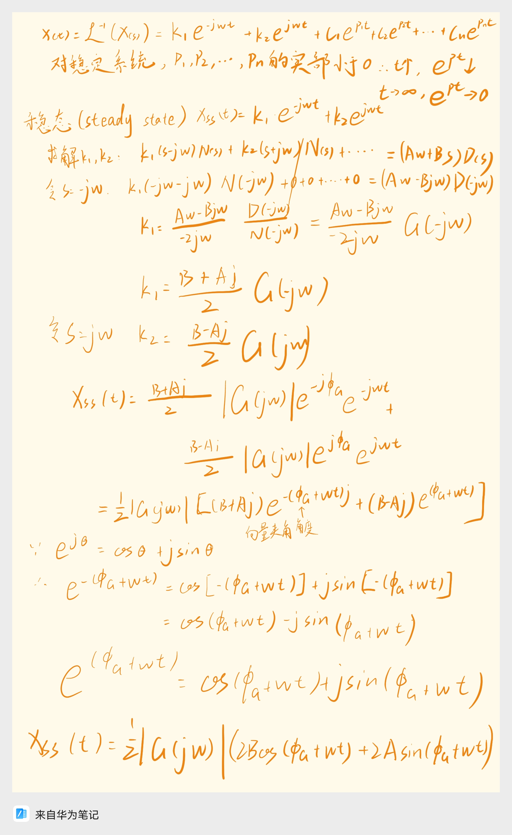
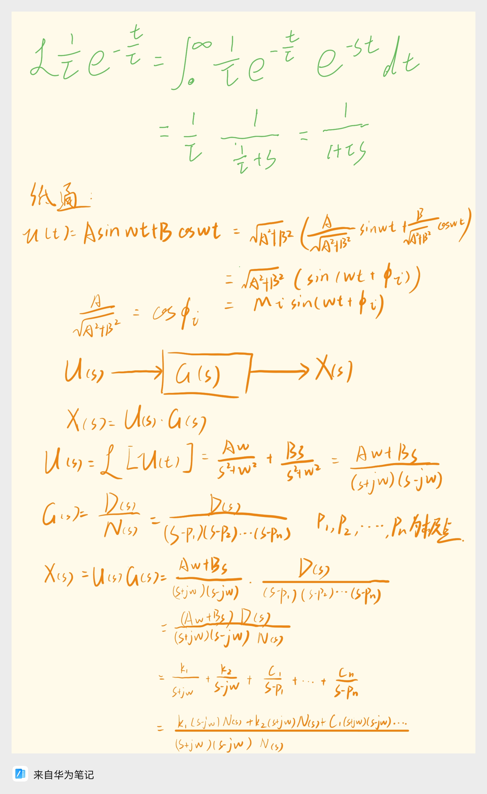
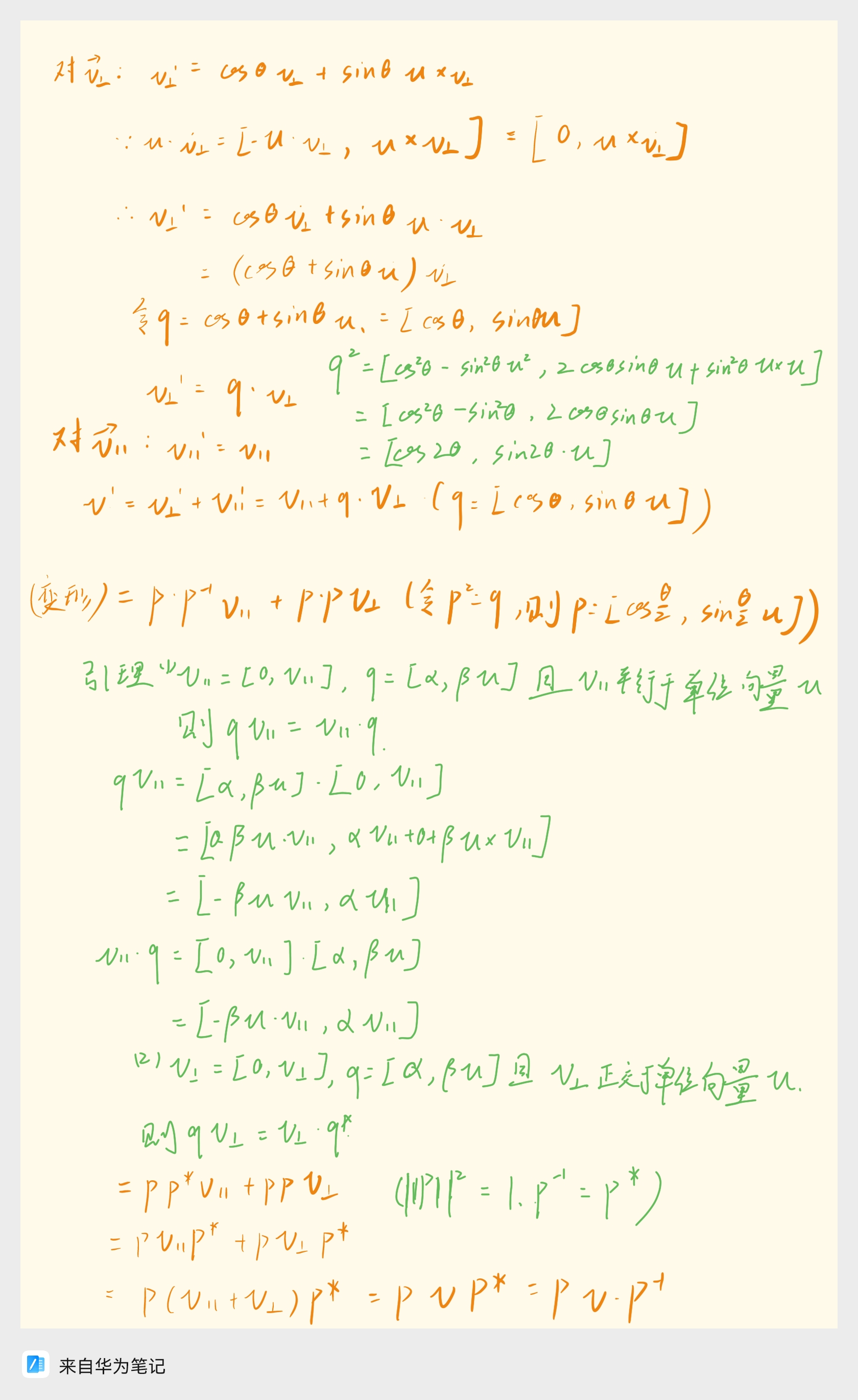
从一开始的姿态表示(欧拉角、四元数、旋转矩阵),到滤波用的拉普拉斯变换,再到控制PID。
1
2
3
4
5
6
7
8
9
10
11
12
13
14
15
16
17


无人机 > 姿态解算
姿态解算手稿整理
http://example.com/2025/08/17/25_08_17姿态解算手稿整理/
作者
ZF ZHAO
发布于
2025年8月17日
许可协议
傅里叶变换手稿整理 上一篇
姿态解算资料整理 下一篇

目录

搜索

Hexo Fluid