ZF ZHAO
  • 首页
  • 归档
  • 分类
  • 标签
  • 关于
2025年8月17日 晚上
16 字 1 分钟

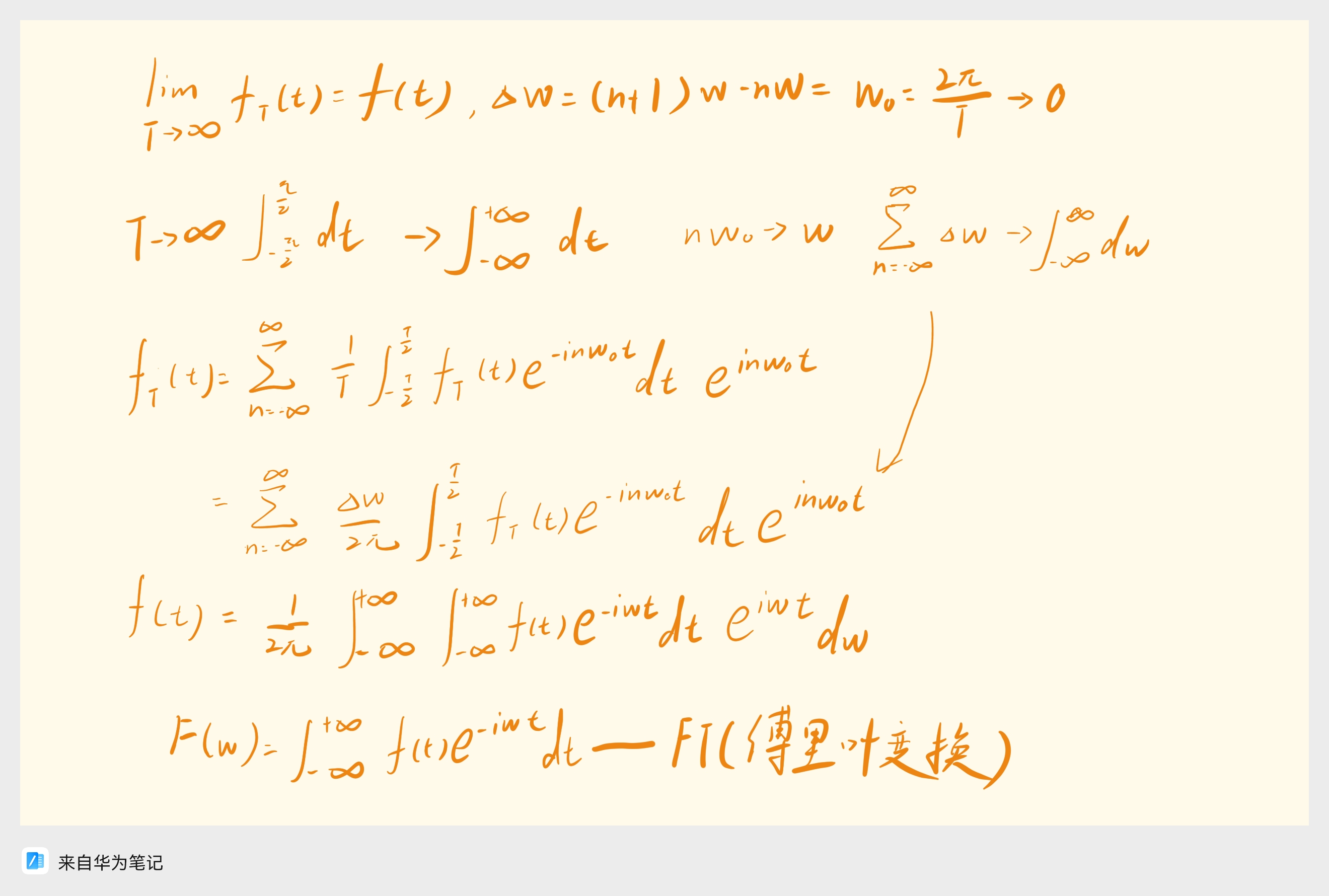
傅里叶变换手稿整理

傅里叶变换手稿整理

傅里叶变换详解
1
2
3
4
5
6
7
8
9
10


无人机 > 姿态解算
傅里叶变换手稿整理
http://example.com/2025/08/17/25_08_17傅里叶变换手稿整理/
作者
ZF ZHAO
发布于
2025年8月17日
许可协议
拉普拉斯变换,带通滤波器变换手稿整理 上一篇
姿态解算手稿整理 下一篇

目录

搜索

Hexo Fluid